Sizes
数学公式中表达式的强制大小样式。
这些函数允许手动配置表达式元素的尺寸,使它们看起来像处于内联/显示模式,或者在根式、上下标中使用的那样。
Function
display
display在数学模式中强制为“显示样式”。
这是公式块的常规大小。
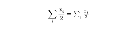
$sum_i x_i/2 = display(sum_i x_i/2)$

math.display(,)->inline
inline强制显示为“内联(文本)样式”。
这是内联公式的正常大小。
$ sum_i x_i/2
= inline(sum_i x_i/2) $

math.inline(,)->script
script强制显示为脚本大小。
这是用于上下标的较小尺寸。
$sum_i x_i/2 = script(sum_i x_i/2)$

math.script(,)->