equation
元素元素元素函数可用set
和show
规则自定义样式。
元素
元素函数可用
set
和show
规则自定义样式。数学表达式。
可以为内联显示或作为单独的文本块显示。
Example
#set text(font: "New Computer Modern")
Let $a$, $b$, and $c$ be the side
lengths of right-angled triangle.
Then, we know that:
$ a^2 + b^2 = c^2 $
Prove by induction:
$ sum_(k=1)^n k = (n(n+1)) / 2 $

语法
该函数也有一个专用语法: 在美元符号内编写数学标记以创建表达式。 在表达式开头和结尾添加至少一个空格,可以将其提升至水平居中的单独的文本块中显示中。详情请参考: math 页面.
参数参数参数是传给函数的输入,写在函数名后的括号中。
参数
参数是传给函数的输入,写在函数名后的括号中。
block
可用set规则可用set规则可用set
规则设置参数,更改后续调用时的默认值。
可用set规则
可用set规则
可用
set
规则设置参数,更改后续调用时的默认值。Whether the equation is displayed as a separate block.
默认值: false
numbering
如何对表达式进行 编号
默认值: none
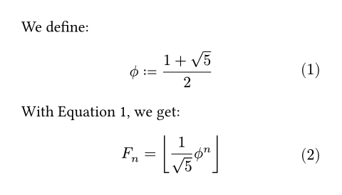
展开例子
#set math.equation(numbering: "(1)")
We define:
$ phi.alt := (1 + sqrt(5)) / 2 $ <ratio>
With @ratio, we get:
$ F_n = floor(1 / sqrt(5) phi.alt^n) $

supplement
数学表达式的补充内容。
添加在被引用的公式编号的前面。
如果指定了一个函数,将会传入引用的表达式,并返回其内容。
默认值: auto
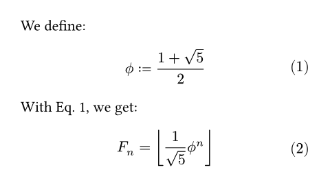
展开例子
#set math.equation(numbering: "(1)", supplement: [Eq.])
We define:
$ phi.alt := (1 + sqrt(5)) / 2 $ <ratio>
With @ratio, we get:
$ F_n = floor(1 / sqrt(5) phi.alt^n) $

body
The contents of the equation.