cases元素元素元素函数可用set和show规则自定义样式。
元素
元素函数可用
set和show规则自定义样式。用来分段或组合方程组的左大括号。
不同分支的内容可以通过对齐符 & 来对齐。
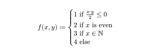
Example
$ f(x, y) := cases(
1 "if" (x dot y)/2 <= 0,
2 "if" x "is even",
3 "if" x in NN,
4 "else",
) $

参数参数参数是传给函数的输入,写在函数名后的括号中。
参数
参数是传给函数的输入,写在函数名后的括号中。
math.cases(,,gap:,)->delim可用set规则可用set规则可用set规则设置参数,更改后续调用时的默认值。
delim可用set规则
可用set规则
可用
set规则设置参数,更改后续调用时的默认值。使用的分隔符。
展开例子
#set math.cases(delim: "[")
$ x = cases(1, 2) $

可填写的值
(Delimit with parentheses.
[Delimit with brackets.
{Delimit with curly braces.
|Delimit with vertical bars.
||Delimit with double vertical bars.
默认值:"{"
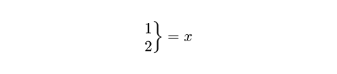
reverse可用set规则可用set规则可用set规则设置参数,更改后续调用时的默认值。
reverse可用set规则
可用set规则
可用
set规则设置参数,更改后续调用时的默认值。是否翻转为右大括号。
展开例子
#set math.cases(reverse: true)
$ cases(1, 2) = x $

默认值:false
gap可用set规则可用set规则可用set规则设置参数,更改后续调用时的默认值。
gap可用set规则
可用set规则
可用
set规则设置参数,更改后续调用时的默认值。分支间的间距。
展开例子
#set math.cases(gap: 1em)
$ x = cases(1, 2) $

默认值:0.5em
children
children子分支。